<< Previous | Outline | Next >>
Corrections to Tested Performance: Manufacturers' Data and the Spreadsheet Interface
- Regression of manufacturers' performance data:
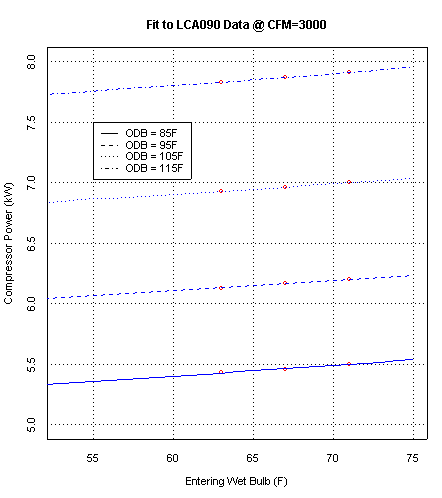
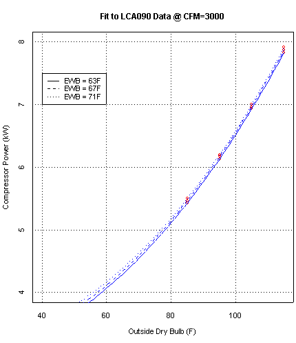
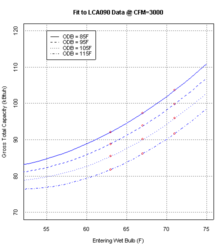
- fGTC = Gross Total Capacity Correction =
Regression_GTC(ODB, EWB) / Regression_GTC(95, 67)
Polynomial model form = ODB + ODB^2 + EWB^2 + ODB*EWB + ODB^2*EWB^2
- fCP = Condenser Power Correction =
Regression_CP(ODB, EWB) / Regression_CP(95, 67)
Polynomial model form = ODB^2 + EWB^2 + ODB*EWB + ODB^2*EWB^2 + ODB^3*EWB^3
- fS/T = Sensible to Total Ratio =
Regression_S/T(ODB, EWB, EDB)
Polynomial model form = EWB + EDB + EWB*EDB + EWB^2*EDB + ODB*EWB*EDB^2 + ODB*EWB^2*EDB
- fPLDF = Part-Load Degradation Factor =
Regression_DegradationFactor(Load Fraction, ODB)
Polynomial model form = Intercept + LF + LF^2 + LF*ODB + LF^2*ODB
- fGTC = Gross Total Capacity Correction =
- Apply corrections to gross AHRI values, then add the effects of fans to give net performance relationships
- Net Total Capacity = fGTC (ODB, EWB) * GTCARI - (Pevap-fan * 3.413)
- Net Sensible Capacity = fGTC (ODB, EWB) * GTCARI * fS/T(ODB, EWB, EDB) - (Pevap-fan * 3.413)
- Condenser Power = fCP(ODB, EWB) * CPARI
- EER = NTC /(CP + Pevap-fan + Paux)
Discussion
For manufacturers' performance data specified in detail via the spreadsheet interface, the regression forms outlined above are used to represent the unit in the calculation engine. This detailed data (except for degradation data), is commonly provided in a manufacturer's detailed specification brochure. These unit-specific regression models serve to replace the default DOE-2 regression models for capacity and power draw. The S/T regression model replaces the default apparatus dew-point bypass-factor method for predicting sensible capacity. The degradation regression model replaces the default linear degradation model that is characterized by the "degradation factor" on the Controls page.
Regressions are done for four categories of performance data: (1) gross capacity, (2) condenser power, (3) sensible-to-total capacity ratio, and (4) part-load degradation. The polynomial regression forms illustrate the dependence on outside dry-bulb (ODB), entering wet-bulb (EWB), entering dry-bulb (EDB), and load fraction (LF). Net performance relationships are determined by including the effects of the evaporator fan.
The part-load degradation data that is needed for the regression above is a 16-point table of EER data, indexed by load fraction and outdoor temperature. This is basically an expanded version of the EER dataset that is required for an IEER calculation (4-points). This EER table differs from that used in the IEER calculation in that the evaporator fan power has been removed from the EER calculations. The first step in processing this table is to normalize all the EER data by the corresponding full-load values. This results in a 16-point normalized representation of the part-load efficiency factor (the values in the full-load row are all 1.00 after normalization).
The graphs to the right are examples of these regression models for one particular unit. Regression lines are in blue and corresponding raw data is marked by red circles.
These specific regression models are utilized in ways similar to the default methods outlined above and in the previous pages. Equipment performance at operating conditions is calculated by applying these regression models to shape (or correct) the AHRI rated performance specifications.